如何在Excel中计算均方根误差¶
均方根误差是多少?¶
均方根误差测量 两个数据集之间有多少错误 . 换句话说,它比较预测值和观察值或已知值。
它也被称为 均方根偏差 是GIS中应用最广泛的统计数据之一。
不同于 Mean Absolute Error (MAE) 在比较两个数据集时,我们在各种应用程序中使用RMSE。
下面是一个如何用10个观测值和预测值在Excel中计算RMSE的示例。但您可以对任何大小的数据集应用相同的计算。

添加微信好友, 获取更多信息
复制微信号
均方根误差示例¶
例如,我们可以比较 LiDAR elevation point 测量地面测量值(观测值)。
预测值:激光雷达仰角值
观测值:实测高程值
均方根误差取每个激光雷达值和测量值的差值。
您可以交换减法的顺序,因为下一步是取差的平方。这是因为负值的平方总是正值。
但要确保你把同样的顺序放在外面。
然后,将所有值的和除以观测的数目。最后,我们得到一个RMSE值。
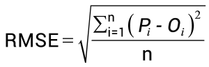
这是什么 RMSE公式 看起来像:
如何在Excel中计算RMSE¶
这里是一个 在Excel中快速简便地计算RMSE . 您需要一组观察值和预测值:
1输入标题¶
在单元格A1中,输入“观测值”作为标题。对于单元格B1,键入“预测值”。在C2中,键入“差异”。
2在列中放置值¶
|Check settings|如果有10个观测值,将观测到的高程值放在A2到A11中。此外,在电子表格的单元格b2到b11中填充预测值
3找出观测值和预测值之间的差异¶
|Decimal Degrees|在C2列中,减去观测值和预测值。对下面存在预测值和观察值的所有行重复此操作。
=A2-B2
现在,这些值可以是正的,也可以是负的。
4计算均方根误差值¶
=SQRT(SUMSQ(C2:C11)/COUNTA(C2:C11))
单元格D2是均方根误差值。保存你的工作,因为你已经完成了。
如果您有一个较小的值,这意味着预测值接近于观察值。反之亦然。
接下来是什么?¶
RMSE量化了一组值的不同程度。RMSE值越小,预测值和观测值越接近。
如果你测试过这个 RMSE指南 ,您可以尝试掌握GIS中其他一些广泛使用的统计数据:
来源:开源地理空间基金会中文分会
来源链接:https://www.osgeo.cn/post/196d8
本站声明:网站内容来源于 *** ,如有侵权,请联系我们,我们将及时处理。








