2022年初青岛海洋科学与技术国家实验室主办了 *** 公开课,邀请了很多专家来授课。专家们都带来了自己的最新研究成果。比如海大贾永刚老师讲授了深海原位测试成果。博主前段时间还对其进行专门的介绍。除了贾老师的成果以外,博主对海洋一所的深拖式多道高分辨率地震探测系统也非常感兴趣。
博主搜索了相关的文献,并按照时间顺序进行排列介绍,以期知悉这款国产设备的来龙去脉。
按照惯例,先说结论:
(1)近海PSS500J 等离子体震源系统的成功研制打破国外垄断,其等离子体震源激发产生的电脉冲为单脉冲, 脉冲持续时间不足 0.2 ms,优于传统电火花 震源(脉冲持续时间1 ms),而且能量传输效率高;在山东海域获得的一段浅剖资料, 激发能量为200 J, 水深 40 m, 穿透深度为海底以下约 40 m。
(2)在PSS500J的基础上,研究深水高分辨率多道地震探测系统研究,研发成功了高频10 000 J大能量等离子体震源,主频在700 Hz左右。从50m水深试验测线剖面可以看出,剖面地层显示清晰,地层穿透深度优于150 m,地层分辨率约1.2 m。

添加微信好友, 获取更多信息
复制微信号
(3)在国家重点研发计划项目“近海底高精度水合物探测技术”的支持下,研发成功了深拖式高分辨率多道地震探测系统kuiyang-ST2000,在南海试验中,剖面资料显示频带范围为 200~2400Hz,主频约1000Hz ,地层穿透深度更大可达双程时380ms(约300m),并呈现纵向分辨率<1m及横向分辨率<10m的高分辨率特点。叠加剖面图上,海底以下50ms内同相轴连续性好,波阻清晰,判断可能有断层等不连续构造或褶皱、小规模气烟囱、似海底反射层(Bottom Simulating Reflectors,BSR)特征,基本达到了预期效果。
脉冲等离子体震源及其在海洋地震勘探方面的应用_裴彦良 2007年
电火花震源是最早应用于海洋地震勘探的非 *** 震源之一。然而, 由于传统电火花震源子波的重复性差,正逐步被枪震源所替代。近年来, 随着大功率半导体开关的问世以及多电极无电弧放电发射阵的应用, 脉冲放电震源又重新应用于海洋工程地震勘探, 为了区别于传统的电火花震源, 称之为脉冲等离子体震源。
等离子体震源与传统电火花震源相比, 具有震源子波重复性好、能量传输效率高、安全可靠、寿命长等优点。与 *** 和枪阵震源不同, 等离子体震源多用于海洋工程地震调查。根据水深、底质类型、所需地层穿透深度等要求的不同, 震源的输出能量可以在几十到数千焦耳之间, 穿透深度可达 100~250 m, 并能达到0.3~1 m 的分辨率。
PSS500J 等离子体震源系统的研制成功, 打破了国际垄断, 对于我国海洋工程、海洋地学研究甚至国防均有较大意义。PSS500J 等离子体震源系统已经为国家的多个重大重点项目提供了服务, 其中仅在“我国近海海洋综合调查与评价( 908 专项) ”项目中, 利用该系统就已经获得了 4 000 km 的高质量浅底层剖面资料。图 7所示为在山东海域获得的一段浅剖资料, 激发能量为200 J, 水深 40 m, 穿透深度为海底以下约 40 m。应用效果表明, 该系统已经达到并部分超过国际同类产品水平, 预计有着较好的市场前景。
下面以 PSS500J 等离子体震源系统为例, 具体讨论并模拟震源放电的两个阶段。PSS500J 等离子体震源单次激发能量 500 J, 储能电容器电容 32 μF, 发射电缆电阻 0.09 Ω, 电感 30 μH, 发射阵共有 100 个高压电极,单个电极直径约 0.5 mm。
之一阶段( 电容放电阶段)等离子体震源激发的之一阶段, 电容释放的能量将发射阵高压电极附近的海水加热汽化并生成等离子体。50 μs电容电压为0关断,电流更大。
第二阶段( 电感放电阶段)第二阶段储能电容器已经从放电回路断开, 放电电流回路由续流电路、发射电缆和发射电极之间的海水组成。
将两个阶段进行合并,得到下面的波形图,脉冲放电持续时间为0.2ms。
由上述讨论可以看出, 等离子体震源激发产生的电脉冲为单脉冲, 脉冲持续时间不足 0.2 ms; 而传统电火花震源激发产生的电脉冲为衰减震荡脉冲, 脉冲震荡持续时间可达 1 ms。虽然震源激发的电脉冲不同于最终产生地震波的压力脉冲, 但电脉冲质量也决定着压力脉冲质量, 从而导致等离子体震源子波优于传统电火花震源子波。
此外, 等离子体震源发射阵的高压电极与地极间距较大, 震源激发时只是在高压电极发射针尖端形成等离子体, 而并不是在高压电极与地极之间形成等离子体放电通道。这一点导致了等离子体震源放电激发时负载电阻和高压电极与地极之间的距离无关, 且负载电阻远大于传输电缆的电阻, 能量传输效率高。(这段话确实没有看懂)
深水浅地层高分辨率多道地震探测系统研究_裴彦良 2008年
目前国内外尚无专用的深水浅地层高分辨率多道地震探测设备,已有的深水地震勘探设备可分为2大类,即海面拖曳型和深拖型。海面拖曳型地震探测使用 *** 或枪阵震源,单道或多道接收拖缆。 *** 震源发射能量大,声波穿透深度深,但由于其子波宽度大,地层分辨率低,无法为深水海上工程的施工作业提供高分辨率的地层信息。深拖型地震探测使用水下拖曳装置,由于深水高压环境,不得不采用单点发射和单点接收的工作方式,作业船速降至极低,直接影响工作效率。
目前深水地震勘探主要使用海面拖曳型设备。为了解决现有设备地层分辨率低的问题,近年来国外在海上地震震源系统和海上地震接收系统方面做出了一些改进。震源方面,荷兰Geo-Resources公司研制了1 000~ 16 000 J的多电极等离子体震源,根据其网站提供的剖面,该震源可以用于深海浅地层研究,其分辨率达到了2 m左右。在接收技术方面,国内外生产的高分辨率接收电缆仍使用压电水听器,基于压电水听器的数字式多道接收电缆系统已经研制成功,例如美国Geometrics公司生产的GEOEEL数字式多道水听器电缆。
在国家“十五”计划期间,我国研制了一套适用于浅水的高分辨率多道浅地层探测系统,可工作于5~ 70 m水深的近海,探测深度在120 m以上,经过处理后的浅地层剖面的实际分辨率可达到0.3 m。这套高分辨率多道浅地层探测系统虽然仅适用于近海,但其研究经验为深水浅地层高分辨率多道地震探测系统的研究提供了良好的技术基础。(应该是指PSS500J)
为了将高分辨率浅地层地震探测拓展到深海,在震源技术方面本文研究了高频10 000 J大能量等离子体震源;地震接收和记录技术方面则不再基于压电水听器,而讨论基于光纤水听器的96道光纤地震拖缆及其数据记录系统。最后结合深水浅地层地震勘探后处理软件的研发,形成一套完整的深水浅地层高分辨率多道地震探测系统,既适合深水工作环境又要有较高的地层分辨率,满足我国深海海洋环境调查及资源勘查的实际需求。
为检验研究成果、测试设备性能,2008年7月依托海南昌江核电厂厂址海域物探项目,在海南儋州北部湾海域进行了部分已研制设备的联调测试。测试的设备包括10 000 J大能量等离子体震源系统,96道海上地震数据记录系统及深水浅地层地震勘探后处理软件。由于96道光纤水听器拖缆尚未研制完成,未能参加本次测试,测试中使用“十五”国家高技术研究发展计划研制的24道水听器拖缆替代,96道海上地震数据记录系统记录24道水听器拖缆采集的数据。
应用深水浅地层高分辨率多道地震探测后处理软件,对测试数据进行了处理、分析和解释。频谱分析显示地震反射数据资料的频带在100~ 1 500 Hz,主频在700 Hz左右。若取地层地震波传播速度为1 700 m/s,则地震波的优势波长为2.4 m,地层分辨率约1.2 m。图6为1条试验测线剖面,从剖面可以看出,剖面地层显示清晰,地层穿透深度优于150 m
深拖式多道高分辨率地震探测系统在南海首次应用_魏峥嵘 2020年
深拖式多道地震探测技术是将震源和水听器阵列通过拖曳于近海底的方式进行波场观测(图1)。
由于采用的震源具有较高主频(200~1100Hz)以及近海底的观测方式,避免了信号受海水吸收、海洋混响、环境噪声等的影响,从而可采集得到高品质原始地震资料。目前常用的深拖地震探测装备主要有美国海军研究实验室(NRL)在20 世纪 80 年代研发的 DTAGS系统和法国海洋研究所(IFREMER)在本世纪初研发的SYSIF系统。
随着中国主要海域的水合物资源勘探逐步进入详查和试开采阶段,对海底水合物矿体空间分布的探查精度要求显著提高。海上常规多道地震探测的分辨率明显不足,无法分辨表征水合物矿体存在的地球物理异常,难以满足水合物详查及开采的需要。
从2016年开始,由自然资源部广州海洋地质调查局牵头,联合之一海洋研究所及国内相关高校等单位设立国家重点研发计划项目“近海底高精度水合物探测技术”,Kuiyang-ST2000系统即是其子课题“深拖式高分辨率多道地震探测技术与装备研究”的阶段性成果。
本文详述了 Kuiyang-ST2000系统的总体设计组成、关键参数及特性;应用该系统在中国南海 E海域进行了首次海试,所采集数据经处理后得到了高信噪比和高垂向、横向分辨率的成像剖面。
(王揆洋,研究员,男,1949年8月出生,青岛蛟龙深海技术公司总经理。1986年至1987年在法国巴黎居里大学地球物理研究所访问研究员,1992年至1996年参加三次中法海洋地质与地球物理合作调查项目,在第三次合作中,作为中方首席科学家与法方一起进行了东海至冲绳海槽的地球物理调查。90年代以来,不仅利用国外地震系统开展研发和工程勘探,而且同国内大学、研究所等单位合作开发自主技术和产品,先后承担和参加多项国家重点项目,其中“中法合作渤海东部潮流沉积及动力成因机制研究”获国家海洋局二等奖,东海重点区域工程地质和灾害地质调查与评价获国家海洋局三等奖。)
Kuiyang-ST2000深拖探测系统主要由拖体和拖缆组成(图4)。拖体上集成了水下控制中心(OCC)和1个姿态传感器(MTI)、等离子体电火花震源、水下声学定位超短基 线 (USBL)、深度计 (depthome-ter)和高度计(altimeter,测量拖体距海底高度);拖缆主要有前弹段、作业段及挂接阻力伞的尾弹段,作业 段包含3.125m间距的48道零浮力数字拖缆,其连接处包含4个姿态传感器(MTI)。

应用 Kuiyang-ST2000系统于2019年10月在中国南海 E 海 域 进 行 了 首 次 海 上 实 际 数 据 采 集。工区位于琼东南盆地,为新生代被动大陆边缘盆地,处于印度板块、欧亚板块和太平洋板块的接合部,区内海底地势较平坦。
系统拖曳速度为2~3节,炮间距为6.25m,道间距为3.125m,最小炮检距为13m(前弹段),采样率为8kHz,记录长度为3000ms。
图6 为 采 集 单 炮 记 录 (0~230ms)带 通 滤 波(150~1300Hz)结 果。

地 震 记 录 中 主 要 包 含 直 达波、上行反射波(海底及地层反射波)、海面反射波。由于拖曳深度达1400m,避免了水底多次被、自由表面多次波及微屈多次波等,故干扰波主要有拖船造成的线性噪声,可能存在层间多次波或互层多次波。
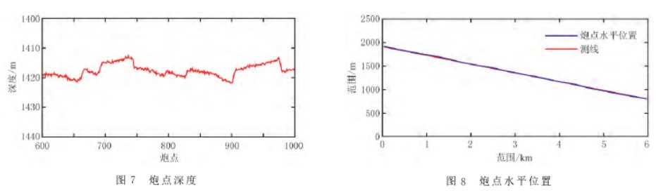
数据处理由于系统位于水下100~2000m,所以 GPS无法对炮—检点进行定位。炮点水平位置采用中心频率为22~30kHz的水下声学定位系统—超短基线进行定位;炮点深度 采 用 深 度 计 与 高 度 计 联 合 定位。图7为炮点定位深度,图8为拖曳时炮点相对于测线(红线)的平面位置(蓝线)。
近海底高分辨率地震探测系统设计与实现_裴彦良 2020年
天然气水合物是有望成为替代常规油气的清洁能源。天然气水合物广泛分布于全球海洋中,发育区域的水深一般在1000m 以上,埋深大多不超过300m。水合物层厚度小于10m的情况占很大比例,有的甚至不足1m 。我国科学家经过十多年的地质地球物理综合调查,取得了天然气水合物勘探、开发的重大突破。
随着我国主要海域的水合物资源勘查逐步进入详查和试开采阶段,对海底水合物矿体空间分布的探查精度要求显著提高。天然气水合物沉积层的横向展布范围差异巨大,层状水合物的横向延展可达数千米,而分散状水合物、斑块状水合物的横向范围则小很多,甚至不足1m。由于天然气水合物矿床产状多样、发育地质条件复杂、垂向厚度有限和横向分布不均匀,导致传统地震资料难以满足水合物勘探需求。国外采用多道、三维、深拖等多种 *** 联合作业,综合解释区域地质构造特征,对水合物进行详细的地球物理研究。
在国家重点研发计划支持下,我国“十三五”期间开展了“近海底高精度水合物探测技术”“天然气水合物高分辨率三维地震探测技术”等项目的研究工作,本文内容基于“近海底高精度水合物探测技术”项目开展研究。
近海底地震探测技术是将震源和接收缆均置于近海底拖曳,进而提高地层分辨率的地质探测 *** 。在海底高静压环 境 下,气 枪 等 震 源 不 能 用 于 近 海 底 激 发。国 外 成 功 的 近 海 底 地 震 探 测 系 统,包 括 美 国 的DTAG系统和法国的SYSIF系统,均采用赫姆霍兹共振腔作为深拖震源,本项目则采用等离子体震源作为深拖震源。此外,深拖接收缆的采集和控制亦均集成于海底拖体上,也是本项目需要攻克的关键技术难点。
赫姆霍兹共振腔 在实际生活中,吹啤酒瓶就是一个很接近的案例,当用合适的气流速度去吹酒瓶的时候,酒瓶内就会发出响声,且会有更大响声的存在。这就是吹进瓶子内的气流引起了瓶子内气体的振动,气体共振时候瓶子本身也是振动的,这些振动形式向外传播,便有了上述的“共鸣”。那此时有吸声存在吗?当然是有的,但由于存在激励源,也就是你吹进去的气流,所以瓶子才可以持续发出响声。这也就是说,吸声和共鸣并不矛盾,而且只有在“共鸣器”本身特性匹配时候才能发出声响。如下图所示(使用陶瓮作为扩散声场),为什么不直接用城墙掏的洞呢?里面为啥还要加个罐子?这就是声波很难引起城墙的“共鸣”。
采用近底深拖地震探测系统横向分辨率更高
将等离子体震源主频范围拟定为( 750+250)Hz,震源声源级应≥210dB,与国外深拖系统的参数对比如下:
为实现在水深超高静压环境下震源的有效激发,承载震源发射阵的容器需要兼具耐压和透声特性。应用于海洋深水条件下的耐压容器多采用不锈钢或者钛合金材料,耐压性能好,但透声性很差;应用于海洋地质勘探的透声材料一般包括橡胶、聚氨酯等,水听器和换能器等都应用到这类材料,然而这类材料透声性好,但刚性很差,不能用于 *** 耐压容器。碳纤维材料透声性能好,强度高,具有耐腐蚀和高模量等特点。然而,碳纤维材料的耐冲击性较差,进行开孔、焊接等机械加工难度大。因此,耐压透声舱的舱壁主体采用碳纤维材料,两侧端盖使用不锈钢材料。碳纤维材料的舱体可以有效抵御外部深层海水静压力,并能将内部声波能量辐射出去。
耐压舱抵御了外层海水的高静压力,舱内保持了常压条件。但等离子体震源发射阵激发的原理是利用强电场和脉冲电流使海水局部气化产生气泡,利用气泡膨胀、收缩的过程向外辐射脉冲声波。由于碳舱内灌装的海水基本不可压缩,若无减压增容措施,多电极放电将导致碳舱内压瞬间急剧抬升,气泡膨胀将受到抑制,进而导致声波能量的衰弱。为此,为发射阵设计了气体缓冲舱,缓冲舱位于碳舱顶部并与碳舱连通。
2019年在琼东海域试验。
试验中震源激发能量设置为 3000J,激发炮间距6.25,最小炮检距12.5。更大拖曳深度为 2025m ,拖体离底高度保持在90~110 ,拖曳速度保持在2~3kn 。由处理后的深拖多道地震叠加剖面结果(见下图)可知,地层穿透深度更大可达双程时380ms,从叠加结果对比单道剖面可以看出系统探测时间上达到了约350ms(双程时)。叠加剖面海底以下50ms内同相轴连续性好,波阻清晰;此外叠加剖面中存在多处绕射现象,可能为断层等不连续构造或褶皱(黄色圈);有可能有小规模气烟囱(红色三角),在2415ms处可能有似海底反射层(Bottom Simulating Reflectors,BSR)特征。可见频带范围为 200~2400Hz,主频约1000Hz 。叠加剖面显示了纵向分辨率<1m及横向分辨率<10m的高分辨率特点,基本达到了预期效果。



